试题筛选
共找到 862 道试题
排序方式:
中等
中等
中等
中等
中等



,则( )。
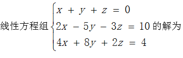
,则
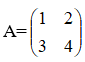
,则A*中位于第1行第2列的元素是( )
()